Aniversário da Abril: Assine por apenas 1,99

Física – Mecânica 1

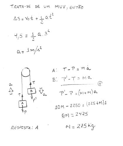
Professor tira dúvida sobre física

Por Redação Guia do Estudante Materia seguir SEGUIR Materia seguir SEGUINDO 8 Maio 2012, 17h41 • Atualizado em 16 Maio 2017, 13h34
  • Física – Mecânica 1


    Enviado por Gabriela Abe

    Física – Mecânica 1

    Publicidade
    Física – Mecânica 1
    Estudo
    Física – Mecânica 1
    Professor tira dúvida sobre física

    Essa é uma matéria exclusiva para assinantes. Se você já é assinante faça seu login

    Este usuário não possui direito de acesso neste conteúdo. Para mudar de conta, faça seu login

    ECONOMIZE ATÉ 90% OFF

    Plano Anual
    Plano Anual

    Acesso ilimitado a todo conteúdo exclusivo do site

    Apenas R$ 1,99/mês*

    Plano Mensal
    Plano Mensal

    R$ 19,90/mês