
Matemática – Raiz quadrada 1
Enviado por Jéssica
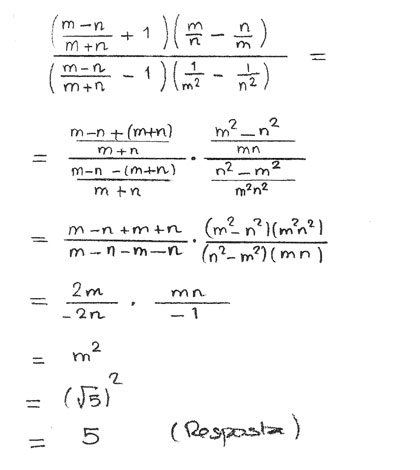
Confira a resposta:


Matemática – Raiz quadrada 1
Enviado por Jéssica
Confira a resposta:

Essa é uma matéria exclusiva para assinantes. Se você já é assinante faça seu login
Este usuário não possui direito de acesso neste conteúdo. Para mudar de conta, faça seu login